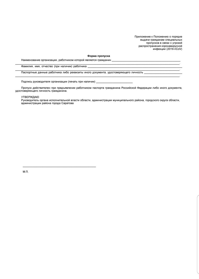
Только что глава города Балаково Роман Сергеевич Ирисов на своей страничке “Вконтакте” разъяснил процедуру получения пропусков для работающих – “Для обеспечения пропускного режима организации и индивидуальные предприниматели, деятельность которых не приостановлена в связи с угрозой распространения коронавирусной инфекции (2019-nCoV), выдают работникам пропуска установленной формы (приложение №1).
Пропуска для утверждения предоставляются в администрацию Балаковского муниципального района (г.Балаково, ул.Трнавская, 12) вместе со списком установленной формы (приложение №2). Список предоставляется также в формате WORD на адрес электронной почты: 212adm@bk.ru
Прием списков и пропусков для утверждения осуществляется в здании администрации Балаковского муниципального района. Справки по телефонам: 39-00-14; 39-00-34.”

рома тупо слизал с сайта абмр
Зато первый
Ваш комментарий